

Artículos
Biofuncionalización de yogur de leche de cabra con la adición de extracto de Hibiscus sinensis
Ingenio Tecnológico
Universidad Tecnológica Nacional, Argentina
ISSN-e: 2618-4931
Periodicidad: Frecuencia continua
vol. 6, e047, 2024
Recepción: 08/05/24
Aprobación: 18 Junio 2024

Resumen: En este estudio se biofuncionalizó yogur caprino mediante la incorporación de un extracto de Hibiscus sinensis (HS) obtenido en el laboratorio. Para ello se ensayaron cuatro condiciones de extracción sólido:líquido de bioactivos de pétalos de HS: dos extractos acuosos a temperatura de ebullición (infusión y decocción) y dos extractos con mezcla etanol:agua a temperatura ambiente de 25ºC (etanol:agua 70:30 y 50:50). Los extractos se caracterizaron mediante el análisis de pH, acidez titulable, color, sólidos totales (ST), actividad antioxidante (AAO) y contenido de fenoles totales (FT). Se seleccionó el extracto que presentó mejores propiedades y se determinó su toxicidad. El extracto etanólico 70:30 fue seleccionado por presentar la mejor AAO (IC50 33,9 ± 0,4 µg/mL), mayor contenido de FT (145±5 mgAGE/gST) y de ST (18,6±0,8 g/mL). La concentración letal hallada (554,84 ± 5,1 ppm) permitió fijar el límite máximo de incorporación de extracto de HS al yogur caprino. Se elaboraron yogures en cinco niveles de incorporación de extracto de HS, 0 ppm (control) (C0), 100 ppm (C1), 200 ppm (C2), 300 ppm (C3) y 400 ppm (C4). Se analizó en las muestras el pH, acidez titulable, textura, porcentaje de sinéresis, color y actividad antioxidante, en los días 1, 7, 14, 21 y 28 de almacenamiento refrigerado a 4°C. Se observó que las concentraciones entre C1 - C3 producen disminución del pH e incremento de acidez hasta el día 21. A partir del día 14 la sinéresis disminuye a medida que se incrementa la concentración de HS. La actividad antioxidante incrementó de forma concomitante al aumento de HS. Se seleccionaron los yogures C3 por presentar mejores resultados y se sometieron a análisis sensorial por panel de consumidores, junto al control. Se encontraron diferencias significativas en la textura y el sabor de las muestras. El agregado de HS aumentó la valoración global del yogur caprino.
Palabras clave: biofuncionalización, actividad antioxidante, fenoles totales, textura, sinéresis.
Abstract: In this study, goat yogurt was biofunctionalized by incorporating an extract of Hibiscus sinensis (HS) obtained in the laboratory. For this, four solid:liquid extraction conditions of the bioactives from the HS petals were tested, two aqueous at boiling temperature (infusion and decoction) and two ethanol:water mixtures at room temperature of 25ºC (ethanol:water 70:30 and 50:50). The extracts were characterized by analyzing pH, titratable acidity, color, total solids (TS), antioxidant activity (AAO) and total phenolic content (TF). The extract that presented the best properties was selected and its toxicity was determined. The 70:30 ethanolic extract was selected because it presented the best AAO (IC50 33.9 ± 0.4 µg/mL), the highest content of TF (145 ± 5 mgAGE/gST) and ST (18.6 ± 0.8 g/mL). The lethal concentration found 554.84 ± 5.1 ppm allowed us to set the maximum limit of extract incorporation in goat yogurt. Yogurts were prepared at five levels of HS extract incorporation, 0 ppm (control) (C0), 100 ppm (C1), 200 ppm (C2), 300 ppm (C3) and 400 ppm (C4). The samples were analyzed for pH, titratable acidity, texture, percentage of syneresis, color and antioxidant activity, on days 1, 7, 14, 21 and 28 of refrigerated storage at 4°C. It was observed that concentrations between C1 - C3 produce a decrease in pH and an increase in acidity until day 21. From day 14, syneresis decreases as the concentration of HS increases. Antioxidant activity increased concomitantly with the increase in HS. C3 yogurts were selected for presenting better results and were subjected to sensory analysis by a panel of consumers along with the control. Significant differences were found in texture and flavor. The addition of HS increased the overall rating of goat yogurt.
Keywords: biofunctionalization, antioxidant activity, total phenols, texture, syneres.
Introducción
En los últimos años, los productos alimenticios que proporcionan a los consumidores beneficios para la salud, han ganado cada vez más atención en el mundo (Klopčič et al., 2019; Miklavec et al., 2015). Actualmente el mercado ofrece productos con incorporación de compuestos bioactivos y su demanda va en aumento debido a que cada vez son más los consumidores que eligen un estilo de vida saludable (Cais-Sokolińska & Walkowiak-Tomczak, 2021). Los compuestos bioactivos pueden provenir de diversas fuentes, una de ellas es a través de extractos herbales que proporcionan importantes fitoquímicos con propiedades funcionales.
La planta de Hibiscus sinensis (HS) es originaria de Asia, pertenece a la familia de las malvaceae y es de floración anual. Su flor presenta numerosos compuestos funcionales, entre ellos flavonoides, antocianinas, alcaloides y ácidos grasos esenciales, entre otros. Estos compuestos pueden proporcionar beneficios significativos para la salud humana debido a la presencia de sus compuestos antioxidantes (Rengarajan et al., 2020). La flor de HS es consumida principalmente en infusiones sin embargo, sus extractos se aplicaron en diferentes matrices alimentarias como licores y jugos, entre otros, mejorando la calidad sensorial, microbiológica y funcional de los productos adicionados (Arencibia et al., 2021).
El yogur es un producto lácteo obtenido por fermentación de bacterias ácido lácticas (LAB) de amplio consumo en el mundo. Este producto promueve la salud y es beneficioso por prevenir enfermedades y mejorar el sistema inmunológico (Tamime & Robinson’s, 2007; Zheng et al., 2020). Sin embargo, no se lo considera una fuente importante de sustancias bioactivas, por lo que diferentes autores recomiendan la incorporación de extractos vegetales para enriquecer la matriz (Bertolino et al., 2015); en este sentido se han utilizado principalmente hojas, tallos, semillas y en menor medida extractos de flores. Recientemente se ha estudiado la fortificación de yogures con diversos extractos vegetales, como ser el extracto de moringa (Zhang et al., 2019), semillas de chía (Kwon et al., 2019), pulpa de frutilla concentrada (Jaster et al., 2018) y extracto de semilla de camu-camu (Fidelis et al., 2020), los cuales lograron mejorar las propiedades funcionales, texturales, microbiológicas y sensoriales del yogur.
Tomando como referencia los antecedentes sobre el tema, en este trabajo se aborda el estudio de extractos acuosos y etanólicos de la flor de Hibiscus sinensis, la caracterización de esos extractos y la selección de aquel con mejores propiedades antioxidantes para adicionar a un yogur de leche de cabra. Se busca además conocer la cantidad máxima segura de extracto a incorporar al yogur y el efecto de su adición sobre las propiedades fisicoquímicas, texturales y sensoriales del producto, durante 28 días de almacenamiento.
Desarrollo
Diseño Experimental
Se utilizó un diseño escalonado. El método de extracción y la concentración de la mezcla de solventes fueron las variables del primer escalón. Se estudiaron las propiedades funcionales de los extractos obtenidos para determinar el efecto del método de extracción y seleccionar el extracto con las mejores características (principalmente actividad antioxidante y citotoxicidad). En la segunda etapa se utilizaron como factores la concentración de extracto de HS a incorporar al yogur y el tiempo de almacenamiento refrigerado, ambos en cinco (5) niveles de aplicación. Se analizaron parámetros químicos, fisicoquímicos, texturales y sensoriales de las muestras, para seleccionar aquella/s con las mejores características. Sobre la muestra seleccionada y una muestra control se realizó un análisis sensorial.
Obtención y acondicionamiento de pétalos de Hibiscus sinensis:
Se recolectaron flores rosadas de HS cortadas con tallos de 10-15 cm de largo en San Salvador de Jujuy (latitud: 24° 14' 18.363" Sur; longitud: 65° 15' 17.762" Oeste). Las flores se transportaron para su análisis y procesamiento en forma inmediata, protegiendolas de daños físicos y de la luz solar.
La colecta se realizó durante los meses de diciembre a marzo, época de mayor densidad floral, en días soleados, en horas previas a la salida del sol y con dos días anteriores sin precipitaciones.
Las muestras de HS se acondicionaron separando los pétalos cuidadosamente del cáliz. El contenido de humedad de los pétalos se determinó por triplicado empleando la estufa Faeta a 60 ± 2°C hasta peso constante, según el Método AOAC 927.05
Los pétalos se lavaron con agua destilada y se secaron en estufa de convección (marca Memmert) a 30 ± 2 °C hasta alcanzar peso constante. El tiempo de secado fue alrededor de 48 hs.
El material seco se colocó en bolsas de polietileno de alta densidad, se envasó al vacío (envasadora marca Busch 98% de vacío) y se almacenó a temperatura de 25ºC y al resguardo de la luz, hasta la preparación de los extractos.
Obtención de extractos polares de pétalos secos de Hibiscus sinensis:
Se prepararon cuatro extractos polares:
Extractos acuosos:
Infusión:Se siguió el método propuesto por Rao et al. (2012)utilizando 20 mL de agua destilada a temperatura de ebullición por g de pétalos secos, dejándose en contacto por 5 minutos.
Decocción:Según lo reportado por Zampini et al. (2009) se trabajó con 20 mL de agua por gramo de sólido seco y se llevó a ebullición por 2 min.
Extractos Etanólicos: Se siguió el método sugerido por Bazalar Pereda et al. (2016), usando proporciones etanol: agua 70:30 (v/v) y 50:50 (v/v) en relación 20 mL de mezcla de solvente por gramo de sólido. Se sonicó utilizando el equipo Cole-Parmer 8890 por 20 minutos a 42 kHz.
Para cada extracción se usaron tres réplicas. Los extractos obtenidos, tras filtrarse con papel Whatman N°1, se llevaron a volumen final de 100 mL y se conservaron por congelación a -10°C hasta el momento de su análisis.
Análisis de los extractos polares de Hibiscus sinensis:
A todos los extractos obtenidos se le realizaron las siguientes determinaciones:
pH: utilizando un peachímetro marca Hanna con precisión ± 0,01.
Acidez: por titulación ácido-base según el método AOAC 18th Ed. 942.15. Los valores fueron expresados en base a ácido cítrico.
Color: se utilizó un colorímetro Hunter Lab proporcionando los parámetros de la escala CIELAB:
Para evaluar el grado de percepción en la coloración, se determinó con base en la ecuación del sistema CIELAB (Griebeler, 2013), definida por:
Donde:
∆E: Variación o alteración total del color;
∆L: Variación de luminosidad (L*) entre las mediciones;
∆a*: Variación del verde al rojo (a*) entre las mediciones;
∆b*: Variación del azul al amarillo (b*) entre las mediciones.
Para inferir sobre la variación total del color (∆E), entre los diferentes extractos, se utilizaron como referencia los criterios propuestos por Mendoza et al. (2015), siguiendo la clasificación:
Despreciable: 0,0 < ∆E < 0,5;
Ligeramente perceptible: 0,5 < ∆E < 1,5;
Notable: 1,5 < ∆E < 3,0;
Apreciable: 3,0 < ∆E < 6,0;
Muy apreciable: 6,0 < ∆E < 12,0.
Contenido de sólidos totales: se determinó por evaporación de 5mL de extracto, en estufa Faeta a 60ºC hasta alcanzar peso constante (método gravimétrico). Los resultados se expresaron en mg/mL de sólidos totales (ST).
Donde:
m: masa del extracto seco, mg
v: volumen del extracto, mL.
Actividad antioxidante:
Se evaluó la actividad antioxidante frente al radical DPPH• (2,2-diphenyl-l-picrylhydrazyl) según lo descrito por Saluzzo et al. (2018).
En una placa de 96 pocillos se colocaron 25 μL de la muestra a ensayar y se agregaron 200 μL de solución de DPPH. Se dejó en reposo 30 minutos y se leyó en el Lector de Microplacas Epoch (de Biotek®) a una longitud de onda de 517 nm. Los datos se expresaron en IC50 (en ug/mL), valor correspondiente a la concentración de los extractos que captan el 50% de los radicales de DPPH.
Contenido de fenoles totales:
La evaluación del contenido de fenoles totales se realizó por el método colorimétrico usando el reactivo Folin- Ciocalteu (FC), basado en las técnicas de Ainsworth & Gillespie (2007).
Se obtuvo una curva de calibración con el estándar patrón de Ácido Gálico (AG). El reactivo FC se añadió a las muestras a evaluar y se leyó, transcurridos 60 minutos, en el lector de Microplacas Epoch (de Biotek®) a 765 nm. Los resultados se expresaron como concentración en mg de ácido gálico equivalente en el extracto mg de EAG/g Sólidos Solubles Totales.
Ensayo de citotoxicidad:
El grado de toxicidad de los extractos se analizó a través de un bioensayo utilizando camarones de mar (Artemia salina Leach). Los extractos se testearon por triplicado en concentraciones iniciales de 10, 100, 500 y 1000 ppm (µg/mL), respecto a su capacidad de producir la muerte de larvas de Artemia salina (Barbosa et al., 2009). Se sembraron 10 larvas en cada tubo de muestra con agregado de solución salina y a las 24 hs se procedió a contar las larvas sobrevivientes. Para cada concentración se llevó a cabo una muestra control. Se determinó la concentración letal media (CL50) con el software SPSS utilizando un análisis Probit.
El grado de toxicidad se definió en función del rango en que se encontraron los valores de CL50 de acuerdo con las categorías siguientes: fuerte actividad citotóxica (CL50 < 100 µg/mL), moderada actividad citotóxica (100 < CL50 < 500), débil actividad citotóxica (500 < CL50 < 1000) y no tóxica (CL50 >1000 µg/mL) (Barbosa et al., 2009; Bazalar-Pereda et al., 2018).
Cada determinación se realizó por triplicado, usando además tres réplicas.
Para la selección del mejor extracto se empleó como criterio el poder antioxidante, el contenido de fenoles totales y de sólidos totales. El extracto seleccionado se secó a 30 ± 2 ºC se envasó en bolsas de polietileno al vacío (envasadora marca Busch 98% de vacío) y se conservó en refrigeración a 4ºC hasta el momento de su uso.
Se calculó el rendimiento del extracto seco como relación entre la masa de extracto seco obtenida y la cantidad de pétalos secos utilizada.
Donde:
m1: masa del extracto seco,
m2: masa de pétalos secos.
Color: se determinó el color del extracto seco tal como se describió anteriormente.
Leche de cabra
La leche de cabra se obtuvo de un tambo caprino de productores de la localidad de Huacalera, El Perchel, Jujuy, Argentina. Inmediatamente tras el ordeñe, se transfirió a recipientes plásticos sanitizados y se transportó bajo refrigeración 4-8°C. Se extrajo inmediatamente una muestra para analizar su calidad y se procedió a pasteurizar el resto.
Análisis de calidad de la leche cruda
Se determinaron los siguientes parámetros de calidad por triplicado.
pH: se utilizó un peachímetro digital marca HANNA con precisión ± 0,01.
Acidez: a través de una titulación ácido-base, expresada en porcentaje de ácido láctico. Método AOAC 18th Ed. 947.05
Densidad: según el método AOAC 18th Ed. 925.22
Prueba del azul de metileno: según (Morales V., 2005).
Determinación de la Composición de la leche cruda
Se realizó el estudio de la composición según métodos A.O.A.C. (16 th Ed. 1995). Proteínas Totales (N 6,38): Método Kjeldahl, A.O.A.C. 955.04 c. Materia grasa: Método Gerber, AOAC 932.06. Sólidos totales: Método AOAC 927.05, norma FIL-21: 1962 de la federación Internacional de lechería. Cenizas: Método AOAC 945.46. Carbohidratos: se calcularon por diferencia tomando en cuenta las determinaciones anteriores (Iturbe & Sandoval, 2011).
Elaboración de las muestras de yogur de leche de cabra con la inclusión de extracto polar de pétalos de Hibiscus sinensis
Se estandarizó el contenido graso de la leche a 3% p/v y su contenido de sólidos no grasos, añadiendo un 7% de sacarosa comercial y un 3% de leche descremada en polvo comercial. Posteriormente la mezcla láctea atravesó una etapa de pasteurización a 85ºC por 15 minutos y se enfrió rápidamente en un baño de agua fría hasta alcanzar 40ºC. Se llevó a recipientes de 50 mL previamente sanitizados, donde se inoculó con cultivo láctico comercial YF-L811 Yo-Flex Chr. Hansen formado por Lactobacillus delbrueckii subsp. bulgaricus y Streptococcus salivarius subsp. thermophilus. Simultáneamente se añadió el extracto seco de Hibiscus sinensis seleccionado, en cuatro niveles de concentración 100 ppm, 200 ppm, 300 ppm y 400 ppm. Se elaboró una muestra control utilizando leche estandarizada sin el agregado del extracto de HS (0 ppm). La fermentación se desarrolló a temperatura controlada (40 ± 2ºC) hasta alcanzar pH=4,6 ± 0,2. Se enfrió rápidamente en baño de agua fría y luego se almacenaron las muestras bajo refrigeración (4-6ºC) hasta el momento de su análisis.
Medición de propiedades Físicas
Se analizaron las muestras a los días 1, 7, 14, 21 y 28 por triplicado. Se midieron: pH, Acidez según el método AOAC 947.05 y color, al inicio del almacenamiento.
Grado de Sinéresis: Se siguió el método sugerido por Pluta et al. (1999) usando una centrífuga Presvac (DCS-16-RV) a 3800 rpm por 10 minutos. Se pesó el sobrenadante obtenido. El porcentaje de sinéresis se calculó de la siguiente manera:
Análisis del perfil de Textura
Se realizó el ensayo de textura tipo TPA (doble penetración) utilizando un émbolo cilíndrico de 12.7mm (P10) y haciendo uso del equipo TA-XT plus instrument. El equipo se vincula con el software “Exponent” el cual mostró los valores de los parámetros de firmeza, adhesividad, cohesividad, gomosidad, resiliencia y elasticidad. Para el estudio se usaron frascos cilíndricos de 6 cm de altura y 4,5 cm de diámetro, conteniendo 50 mL de muestra. Se usó una sonda (P10) con una velocidad de penetración de 1 mm/seg, distancia de penetración 10 mm, fuerza de activación de 5 g y tiempo de espera de 5 segundos antes de realizar la segunda compresión.
Determinación de la actividad antioxidante en el yogur
Se siguió el método propuesto por Cuijiao et al. (2019) con modificaciones. Se centrifugaron 100 g de yogur de cada muestra a 5000 rpm durante 5 min, utilizando una centrífuga Combi 514-R y manteniendo la temperatura a 4 °C. Los sobrenadantes se sometieron a una segunda centrifugación en las mismas condiciones. Se realizaron dos centrifugaciones posteriores en las mismas condiciones, añadiendo 3 mL de metanol a 10 mL del sobrenadante. El sobrenadante resultante se utilizó para la medición de la actividad antioxidante tal como se describió anteriormente. Los resultados se expresaron como porcentaje de decoloración de DPPH. Este ensayo se realizó únicamente en el día 28, final del almacenamiento refrigerado.
Análisis sensorial
La muestra que presentó las mejores características se sometió a análisis sensorial, usando como muestra control un yogur de leche de cabra con 0% de HS. Se recurrió a un panel no entrenado de consumidores no habituales (evaluación por consumidor) formado por 30 personas. Para registrar las diferencias de sensibilidad los participantes realizaron la degustación de ambas muestras en forma simultánea. Se determinaron características sensoriales propias del producto y aceptabilidad global, mediante una escala hedónica de 9 puntos (Pastor et al., 2008). Se evaluaron los siguientes atributos: Consistencia, Cremosidad, Grumosidad, Acidez, Dulzura, Amargor, Sabor caprino, Sabor a yogur.
Análisis Estadístico
Los datos obtenidos para cada estudio planteado se examinaron usando la prueba de rangos múltiples de Tukey, con un nivel de confianza del 95%. La diferencia entre medias se analizó utilizando el software Statgraphics Centurion XV. Para analizar los datos obtenidos de los ensayos de actividad antioxidante, contenido de fenoles totales y de citotoxicidad se utilizó el programa estadístico IBM SPSS Statistics 26.
Resultados
Los pétalos frescos de HS presentaron un contenido de humedad de 88,2 ± 0,4 % g/100g, similar a lo reportado por Sugumaran et al. (2012): 89,8 ± 0,08%, y Al-Snafi (2018): 87,6 ± 0,11%.
En la Tabla 1 se muestran los valores de la actividad antioxidante (AAOx), el contenido de fenoles totales, sólidos totales, acidez, pH y parámetros de color de las cuatro muestras de extractos polares de HS.
En la Tabla 2 se muestran los parámetros de color de las cuatro muestras de extractos polares de HS.
Las diferencias de color percibidas, calculadas como ∆E para cada tipo de extracto, se muestran en la Tabla 3.
| Extractos | ΔE |
| 70:30 y 50:50 | 12,91 |
| 70:30 e Infusión | 14,87 |
| 70:30 y decocción | 25,42 |
| 50:50 e infusión | 22,29 |
| 50:50 y decocción | 18,67 |
| Infusión y decocción | 22,51 |
Según la clasificación propuesta por Mendoza et al. (2015), todos los extractos presentaron una diferencia de color apreciable. La diferencia de color mayormente percibida fue entre el extracto etanólico 70:30 y la decocción. Esto puede deberse a la diferencia de luminosidad entre los extractos.
Selección de extracto y caracterización
La selección del mejor extracto se basó principalmente en las mejores propiedades antioxidantes, mayor contenido de polifenoles totales y de sólidos totales. La coloración del extracto también fue valorada, descartándose las tonalidades amarronadas, ya que los potenciales atributos de color que impartirían al yogur serían desfavorables. Rincón-Ruiz (2016), reportó tras un estudio basado en encuestas al consumidor, que los colores mayormente aceptados en el yogur se encuentran en la gama de los rojos-rosados. Otro aspecto considerado fue el pH del extracto; se consideró adicionar a la mezcla láctea aquellos extractos con valores de pH cercanos al de la leche.
El extracto etanólico 70:30 fue seleccionado y añadido en la elaboración del yogur, para lo cual se secó a 30ºC previamente a su uso. El extracto seco presentó los siguientes parámetros de color L: 17,35±0,1, a*: 33,90±0,08 y b*: 2,18±0,2; rendimiento 3,1±0,5 g extracto seco/100g pétalo seco y respecto a la citotoxicidad con Artemia salina se obtuvo una concentración de 554,84 ± 5,1 CL 50 (µg/mL), valor máximo a utilizar.
Caracterización fisicoquímica y de calidad de la leche
Los parámetros de calidad higiénico-sanitaria de la muestra de leche cruda analizada fueron: pH 6,65 ± 0,015, Acidez 16,61 ± 0,255 °D, densidad 1,0314 g/mL y un tiempo de decoloración del azul de metileno mayor a 5,5 hs.
Los resultados del análisis de composición química de la leche cruda fueron: Proteínas 4,74 ± 0,06 g/100g; Grasa 5,35 ± 0,07 g/100g; Hidratos de carbono 4,49 ± 0,07 g/100g y Sólidos totales 15,42 ± 0,1 g/100g.
Los valores reportados de calidad higiénico-sanitaria y de la composición de la leche cruda cumplen con las especificaciones establecidas en el artículo 555 capítulo VIII del CAA.
Efecto de la incorporación del extracto etanólico 70:30 en la elaboración de yogur de leche de cabra
El extracto seleccionado se aplicó en cuatro concentraciones: 100 ppm (C1), 200 ppm (C2), 300 ppm (C3) y 400 ppm (C4). Además, se elaboró una muestra control 0 ppm (C0).
En la Tabla 4 se muestran los valores de pH obtenidos para cada una de las muestras de yogur estudiadas, durante los 28 días de almacenamiento refrigerado a 4°C.
C0: muestra control, C1: yogur con 100ppm de extracto seco de HS, C2: yogur con 200ppm de extracto seco de HS, C3: yogur con 300ppm de extracto seco de HS, C4: yogur con 400ppm de extracto seco de HS.
Se constató que la concentración de extracto incorporado ejerce influencia en el pH. Cuando se aumenta la concentración (entre C0 y C3) el pH disminuye para todos los tiempos analizados. Se observa cierta estabilización en los valores de pH entre concentraciones C2 y C4, a partir del día 7. Los valores de pH más bajos se registraron el día 28 para todas las muestras analizadas.
En la Tabla 5 se muestran los valores de acidez de las muestras de yogur con diferentes concentraciones de HS.
C0: muestra control, C1: yogur con 100ppm de extracto seco de HS, C2: yogur con 200ppm de extracto seco de HS, C3: yogur con 300ppm de extracto seco de HS, C4: yogur con 400ppm de extracto seco de HS.
Los valores de acidez entre C0 y C2 presentaron diferencias significativas con respecto a la concentración de HS. Las muestras incrementaron su acidez con el tiempo, hasta los 21 días, a partir de los cuales se observa una tendencia a la estabilización. Los valores de acidez de la muestra control fueron menores a los de las muestras con las diferentes concentraciones de HS, para todos los tiempos estudiados.
Todos los valores registrados de acidez cumplen con las especificaciones del CAA, el que establece en su artículo 576 capítulo VIII, que la acidez puede variar desde 0,6 a 1,5 g ácido láctico/100 g de yogur.
En la Tabla 6 se muestran los resultados respecto a la variación de la sinéresis con diferentes concentraciones de HS.
C0: muestra control, C1: yogur con 100 ppm de extracto seco de HS, C2: yogur con 200 ppm de extracto seco de HS, C3: yogur con 300 ppm de extracto seco de HS, C4: yogur con 400 ppm de extracto seco de HS.
La sinéresis se incrementó durante el tiempo de almacenamiento refrigerado, para todas las muestras estudiadas. A partir de los 14 días todos los sistemas comenzaron a estabilizarse. A partir de este tiempo de almacenamiento, la adición de concentraciones crecientes de HS logró disminuir el grado de sinéresis. A mayor tiempo de almacenamiento las muestras con el agregado de HS presentaron menor sinéresis que la muestra control.
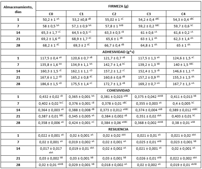
En la Tabla 7 se muestran los resultados del ensayo de textura en las muestras con diferentes concentraciones de HS.
C0: muestra control, C1: yogur con 100ppm de extracto seco de HS, C2: yogur con 200ppm de extracto seco de HS, C3: yogur con 300ppm de extracto seco de HS, C4: yogur con 400ppm de extracto seco de HS.
La firmeza presentó un incremento sostenido desde el inicio del almacenamiento refrigerado hasta los 21 días, para todas las concentraciones de HS. Entre el día 21 y 28 se observó estabilización para todas las muestras analizadas. Este incremento en la firmeza durante el almacenamiento puede deberse al aumento del grado de sinéresis de las muestras, ya que la liberación de suero ocasiona contracción del gel lo que produciría mayor firmeza. A partir del día 14 la firmeza disminuyó con el incremento de la concentración de HS, coincidentemente con la disminución de la sinéresis. La firmeza de las muestras con C1 no tuvo diferencias significativas respecto a la muestra control, a partir de los 14 días.
Respecto a la adhesividad se observa que sus valores aumentan durante el almacenamiento en las muestras estudiadas. Desde el día 14 este parámetro disminuye con el incremento de HS. Hacia el final del periodo de estudio todas las muestras con HS tuvieron menor adhesividad que el control.
Para los parámetros de cohesividad y resiliencia se encontró en todas las muestras, un comportamiento con poca variación, durante el almacenamiento refrigerado. Sus valores oscilan entre 0,3 - 0,4 para la cohesividad y entre 0,017 a 0,03 para la resiliencia.
La actividad antioxidante de las muestras al final del tiempo de almacenamiento, para cada concentración de HS (ppm) a través del % de decoloración de DPPH resultó: 0 (C0) = 28±1a, 100 (C1) = 34±1b, 200 (C2) = 38±1c, 300 (C3) = 46±1d y 400 (C4) = 49±2d. Las actividades de captación de radicales libres incrementan de forma concomitante con el aumento de la concentración de extracto HS, alcanzando valores superiores a la muestra control.
Los resultados obtenidos del color de los diferentes tratamientos se presentan en la Tabla 8.
| Muestra | L | a* | b* |
| C0 | 64 ±2ab | -2,4±0,1a | 9,4 ± 0,6a |
| C1 | 61 ± 1a | -1,3±0,3b | 8,2 ± 0,5a |
| C2 | 61 ± 2a | -1,5±0,2b | 8,8 ± 1,5a |
| C3 | 65 ± 2b | -1,7±1,8ab | 7,1 ± 1,7a |
| C4 | 69 ± 3b | -0,6±0,2c | 8,2 ± 0,6a |
C0: muestra control, C1: yogur con 100ppm de extracto seco de HS, C2: yogur con 200ppm de extracto seco de HS, C3: yogur con 300ppm de extracto seco de HS, C4: yogur con 400ppm de extracto seco de HS.
En todas las muestras estudiadas el parámetro *b es positivo y similar, en tanto que *a es negativo, lo que significa que las muestras tienden hacia la gama de los amarillos y verdes. A medida que se aumenta la concentración de HS disminuye la tendencia al verde, aunque no se logra pasar a la gama de los rojos. Los valores de L de las muestras con adición de HS, hasta 200 ppm, no presentan diferencias significativas respecto a la muestra control. Se observa que la luminosidad de las muestras aumenta con la concentración de HS a partir de los 200 ppm. Tras el análisis de estos parámetros se puede afirmar que, en las concentraciones añadidas, el extracto de HS no logra cambiar apreciablemente el color del producto.
En base a los resultados descritos se seleccionó la muestra de yogur con 300 ppm (C3), ya que presentó valores de sinéresis, firmeza y adhesividad más bajos a partir de los 14 días, mostrando un gel con mayor retención de suero. A su vez la actividad antioxidante encontrada fue la más alta, sin diferencias significativas con C4.
La muestra seleccionada se analizó sensorialmente con un panel evaluador formado por 55% de personas entre 20-30 años de edad. Sólo el 35% del jurado consumía yogur más de una vez por semana.
Los resultados del efecto de la adición de 300 ppm de HS sobre atributos sensoriales se representan en la Figura 1. Se muestran también los puntajes obtenidos para una muestra de yogur idealizada por el consumidor.
No se encontraron diferencias significativas entre las muestras de yogur con HS en comparación a la muestra control y el yogur ideal, en los siguientes atributos: dulce, ácido, cremoso, consistente, sabor a yogur y amargo. Los atributos de grumosidad y sabor a leche de cabra son los que permiten diferenciar las muestras. Se observa que el perfil sensorial de las muestras con HS es muy similar a la muestra ideal definida por el panel.
El grado de aceptación general para la muestra con agregado de HS se observa en la Figura 2. El yogur con extracto de HS obtuvo resultados positivos ya que el 74% de los panelistas mostró un grado de aceptación entre “me gusta mucho” y “me gusta extremadamente''. El 100% de los evaluadores reaccionaron positivamente a las muestras con HS.
En tanto que la aceptación del yogur sin adición de HS (muestra control) fue aceptada por el 59% de los panelistas entre “me gusta extremadamente” y “me gusta moderadamente”, representando esta última calificación a la mayoría de los evaluadores.
Discusión
Extractos polares de pétalos secos de Hibiscus sinensis
La actividad antioxidante y el contenido de fenoles totales (Tabla 1) revelaron diferencias significativas para todos los extractos analizados. Los extractos etanólicos presentaron mejor actividad antirradicalaria en comparación a los acuosos, siendo el obtenido con proporción 70:30 el de mejor poder antioxidante y el de mayor contenido de fenoles totales. Estos resultados implicarían que las mezclas etanol:agua preservan mejor la funcionalidad de los compuestos bioactivos. Se observa que en estos extractos aumentó la cantidad de compuestos fenólicos extraídos cuando se aumentó la relación etanol:agua.
Los extractos etanólicos (5% p/v; 70:30 y 50:50) analizados, alcanzaron mejor poder antioxidante en comparación a los resultados de Khan et al. (2014) quienes analizaron un extracto etanólico de HS al 10%p/v (80:20) y obtuvieron un IC 50 de 64,98 ± 2,1 ppm y a los de Mak et al. (2013), quienes estudiaron dos extractos de flores rojas de HS al 1%, uno acuoso y otro etanólico (96º), reportaron un IC 50 de 97,35 ± 0,6 ppm y 83,08 ± 0,1 ppm, respectivamente. Se evidencian en estos trabajos diferencias en las proporciones masa:solvente que parecieran no influenciar la capacidad antioxidante de los extractos, por lo que se infiere que esas diferencias reflejan la variabilidad de la planta, ya que es sabido que el origen geográfico ejerce un control genético sobre sus caracteres, coincidentemente con lo reportado por Chograni et al. (2021).
Mejores actividades antirradicalarias se encontraron en estudios con extractos de HS utilizando como solvente metanol. Sarvjeet et al. (2019) emplearon un extracto metanólico al 20% p/v, reportando un IC50 de 19,54 ± 1,1 ppm; Purushothaman et al. (2016) usaron un extracto 10% p/v (80:20) y obtuvieron un IC 50 28,41± 1,7 ppm. Si un extracto 10% p/v (80:20) y obtuvieron un IC 50 28,41± 1,7 ppm. Si bien los extractos metanólicos de estos autores presentan una mejor actividad antirradicalaria no podrían ser empleados en alimentos por su naturaleza tóxica.
Respecto al contenido de fenoles totales Bhaskar et al. (2011) estudiaron un extracto etanólico (96º) al 10% p/v hallando un valor de 155,85 ± 0,95 mg/g AGE, dicho valor es superior al obtenido en este trabajo.
Los extractos etanólicos resultaron con contenidos de sólidos totales y pH mayores a los acuosos (Tabla 1). Con el extracto 70:30 se logró mayor grado de extracción de sólidos, mientras que, con la infusión, el más bajo. Este mayor contenido de sólidos totales va acompañado de un mayor contenido de fenoles totales en los extractos etanólicos 70:30. Moreno et al. (2017) estudiaron un extracto acuoso 1% p/v, reportaron un valor de 6,50 g/mL para los sólidos totales.
Existen numerosas investigaciones respecto a fitoquímicos presentes en extractos acuosos y extractos etanólicos de HS. En estos extractos se hallaron taninos, antraquinonas, alcaloides, terpenoides, saponinas, glicósidos, esteroides, fenoles, fitoesteroles, flavonoides, antocianinas, proteínas y aminoácidos, azúcares reductores, florotaninos, rutina, quercetina, kaempferol y miricetina (Salib, 2021). De estos compuestos, los polifenoles, flavonoides y antocianinas, forman parte de los fitoquímicos que actúan como antioxidantes primarios, siendo los principales compuestos hallados en un extracto oleoso de HS (Agarwal & Prakash, 2013).
Dado que los compuestos fitoquímicos presentan anillos benzoicos, ciclos, cadenas alifáticas, entre otros grupos, hacen que presenten mayor afinidad por un solvente no polar que por solventes polares. Debido a que el agua tiene un grado de polaridad bastante mayor al etanol es de esperar que los compuestos fitoquímicos tengan más afinidad por el etanol y por mezclas etanol-agua que por agua pura. También se observa que en los extractos acuosos la decocción alcanza mayor contenido de sólidos totales que la infusión, esto puede deberse a que la decocción implica mayor tiempo de extracción a temperatura de ebullición en comparación con la infusión.
La diferencia en la acidez de los extractos puede estar influenciada por la diferencia en los compuestos presentes. Rios-Chaves et al., (2019) tras el estudio del perfil fitoquímico de extractos acuosos y etanólicos reportaron que los primeros presentaban ácido 9,12-octadecadienoico, ácido 9,12,15-octadecatrienoico y ácido n-hexadecanoico en mayor porcentaje respecto a los etanólicos. Estos compuestos, al estar en mayor cantidad en los extractos acuosos, pueden haber logrado un medio con mayor acidez respecto a los extractos etanólicos hallados en este estudio.
Se observan diferencias significativas en todos los parámetros de color (espacio CIELAB) para todos los extractos estudiados (Tabla 2). El parámetro a* fue positivo en todos los casos, lo que indica que los extractos tienden al rojo, el parámetro b* resultó también positivo indicando tendencia al amarillo. El extracto 70:30 y la infusión alcanzaron los valores más altos para el parámetro L, siendo los extractos de mayor luminosidad. En tanto la decocción fue el de menor valor. El extracto 50:50 alcanzó los valores más altos para las variables a* y b* frente a las demás muestras estudiadas, siendo el de mayor orientación hacia la gama de los rojos y amarillos. El bajo valor de luminosidad observado en la decocción podría deberse al efecto de la temperatura durante la extracción, sobre los compuestos extraídos (pigmentos bioactivos), resultando en su oxidación (Sadilova et al., 2019).
Mak et al. (2013) obtuvieron los siguientes valores para el color en escala CIELAB para un extracto etanólico al 1% de flores rojas de HS L* 37,08 ± 0,02, a* 10,83 ± 0,07 y b* 3,71 ± 0,02. Sus resultados muestran una tendencia similar a este estudio, al indicar una tendencia hacia la gama de los rojos y amarillos.
Selección de extracto y caracterización
Considerando la clasificación dada por Bazalar-Pereda et al. (2018), el extracto seleccionado 70:30 presentó débil actividad citotóxica. Clemen-Pascual et al. (2021), obtuvieron un extracto de hojas de HS macerados con etanol al 95 % durante 72 h. El ensayo de citotoxicidad arrojó un valor de 465 ppm, indicando moderada toxicidad. Akash et al. (2020), investigaron la citotoxicidad de un extracto etanólico (96°) 5% p/v de la flor de HS, reportaron que el extracto no presentaba toxicidad ya que obtuvieron un CL50= 3223 ppm. Ríos-Chavez et al. (2019) reportaron citotoxicidad nula de extractos de hojas y flores de HS.
Los resultados de citotoxicidad reportados pueden diferir entre sí por la composición de la estructura vegetal, la cual está condicionada por diversos factores bióticos (p. ej., ataque de herbívoros, insectos, enfermedades, patógenos y organismos competidores, etc.) y abióticos (p. ej., contaminación, radiación UV, sequía, salinidad, temperatura, etc.) entre otros factores de estrés (Mathai, 2000). Es probable que, si la planta se ve afectada por un mayor grado de estrés, mayor será el contenido de compuestos tóxicos sintetizados, reflejando mayor actividad citotóxica en sus extractos en comparación a otros extractos obtenidos de plantas, con un estado de menor estrés (Camacho-Escobar et al., 2020). Se encontró síntesis y acumulación de metabolitos secundarios de naturaleza tóxica en flores de HS como respuesta al estrés provocado por el ataque de microorganismos; los extractos acuosos y etanólicos inhibieron el crecimiento de Salmonella typhimurium, Staphylococcus aureus, Escherichia coli, Bacillus subtilis, y Pseudomonas aeruginosa (Carretero & Ortega, 2017).
Respecto al rendimiento Apáez-Barrios et al. 2018 obtuvieron 2,1% g extracto seco/g pétalos. Akash et al. (2020) reportaron el rendimiento de tres extractos etanólicos (96°) de HS (1:10, 1:20 y 1:30 sólido: líquido); obtuvieron los extractos mediante una extracción Soxhlet al 5% m/v utilizando etanol 96° como solvente de extracción, con posterior evaporación del solvente mediante un condensador, proceso que duró 4hs. Indicaron que el extracto 1:20 presentó un rendimiento de 3,5% g extracto seco/g pétalos, siendo el mayor. Las diferencias encontradas en los valores de rendimiento podrían deberse a los diferentes métodos y condiciones de extracción y no se considera una variable relevante para inferir calidad.
En cuanto a la coloración del extracto seco presentó baja luminosidad y tendencia hacia la gama de los rojos y amarillos ya que los parámetros a* y b* fueron positivos.
Efecto de la incorporación del extracto etanólico 70:30 en la elaboración de yogur de leche de cabra
La incorporación de extracto de HS produce una disminución del pH en función del tiempo, para todas las concentraciones (Tabla 5). Este comportamiento se debe, en parte, a que las bacterias inoculadas continúan con su actividad metabólica, produciendo post acidificación. Por otra parte, las proteínas de la leche actúan como un sistema buffer, ejerciendo un efecto amortiguante de acidez. Por otra parte, el extracto de HS aporta diferentes ácidos orgánicos, siendo el ácido cítrico el principal compuesto que influye en la variación de pH entre las muestras estudiadas (Agarwal et al., 2013).
El CAA no especifica valores finales límites de pH para el yogur, sin embargo, hay un límite sensorial de aceptación del producto por debajo del cual existe rechazo por el consumidor. Schimidt et al. (2012) y Oliveira et al. (2011), señalan que el rango de pH entre 4,0 y 4,4 se considera más cercano al ideal, para un yogur de leche de vaca comercial. Moneim et al. (2011) investigaron el comportamiento del pH en un yogur de leche de cabra, durante el almacenamiento a 6 °C durante 15 días. Obtuvieron valores de 4,44 a 4,00. Vásquez-Villalobos et al. (2015), elaboraron un yogur con leche descremada de cabra y le adicionaron puré de mango y banana. Tras 72hs de almacenamiento obtuvieron valores de pH de 4,10 a 3,99. Parra-Huertas et al. (2016), alcanzaron valores de pH similares en yogures caprinos adicionados con avena, stevia y puré de mango, durante un almacenamiento por 15 días.
De acuerdo a lo anterior todas las muestras de yogur presentaron valores de pH aceptables (Tabla 4), para todas las concentraciones de HS estudiadas.
El incremento del porcentaje de sinéresis durante el almacenamiento (Tabla 6) puede ser explicado por la disminución de pH en el yogur, los enlaces internos de las proteínas sufren un reordenamiento de su estructura, lo cual puede tener efecto de contracción en la matriz de la micela de caseína causando más eliminación de lactosuero (Achanta et al., 2007). Joung et al. (2016) y Qiu et al. (2021) elaboraron yogures biofuncionalizados con la adición de extracto seco de hojas de Diospyros kaki y Nelumbo nucifera (200 ppm) y con extracto acuoso liofilizado de Rosa rugosa (500 ppm) respectivamente. Las muestras control en ambos estudios registraron valores más altos de sinéresis en comparación a los yogures biofuncionalizados durante el almacenamiento refrigerado. La menor liberación de suero en estos yogures puede deberse a la formación de complejos estables entre los compuestos fenólicos del extracto y la caseína de la leche, logrando mayor retención de suero (Kwon et al., 2019).
En el análisis de textura (Tabla 7), respecto a la firmeza Ahmed et al. (2021), Qiu et al. (2021), reportaron resultados similares en la biofuncionalización de yogures con extracto etanólico liofilizado de Solenostemma argel 0,1% y con extracto acuoso liofilizado de Rosa rugosa al 0,3% respectivamente.
La disminución de la adhesividad con el agregado de extracto puede deberse al incremento en la capacidad de retención de agua del gel proteico, reflejado en la sinéresis de los yogures, por lo que pudo haber conducido a una red de gel más estable. Por otra parte, el aumento de adhesividad durante el tiempo de almacenamiento podría estar relacionado a la disminución del pH lo que condujo a la contracción y reorganización estructural del gel (Ahmed et al., 2021).
La actividad antirradicalaria se debe a que, durante la fermentación, las bacterias proto simbióticas hidrolizan las proteínas de la leche y producen péptidos con actividad antioxidante ayudando a mejorar la estabilidad oxidativa del yogur (Mann et al., 2017). El extracto de HS incorporó fitoquímicos con actividad antioxidante y posiblemente mejoró los niveles de compuestos bioactivos por un aumento en la liberación de péptidos bioactivos lo que ocasionó una mayor actividad antioxidante. Esto coincide con los reportes de Abdel-Hamid et al. (2020) quienes expresaron que la actividad proteolítica de las bacterias del yogur puede verse incrementada por la presencia de compuestos bioactivos provenientes de extractos herbales.
Resultados similares se obtuvieron en otros estudios de yogures biofuncionalizados. Joung et al. (2016) elaboraron yogures con adición de extractos liofilizados de plantas tradicionales de Corea (Diospyros kaki y Nelumbo nucifera) al 0,2 % (g/g). Obtuvieron valores de actividad antioxidante superiores al yogur control. El porcentaje de decoloración para el día 28 fue de 80% en el yogur con extracto (70:30) y de 30% para la muestra control. Qiu et al. (2021) estudiaron yogures enriquecidos con extractos acuosos liofilizados de Rosa rugosa (0,1; 0,3; y 0,5% g/g) los que mostraron una mayor actividad antirradicalaria en comparación a los yogures sin extracto, durante el almacenamiento por 21 días. Los autores informaron que a medida que se aumentó la concentración de extracto aumentó la capacidad antioxidante en los yogures. Para el último día estudiado obtuvieron un porcentaje de decoloración de 60% para el yogur con 0,3% y la muestra control un 5%. Ahmed et al. (2021), tras la adición de extracto de hojas de Solenostemon argel durante 21 días de almacenamiento, reportaron un porcentaje de decoloración de 36,39%, en tanto que la muestra control alcanzó un 11,16%.
Habitualmente la principal causa de rechazo de los productos derivados de la leche de cabra es por su intenso aroma y sabor característico. La adición de extracto de HS, sumado al descremado de la leche, permitió disminuir el sabor caprino, lo que puede ser favorable para facilitar el consumo de estos productos por parte de los consumidores que no están familiarizados con los productos de leche de cabra (Figura 1 y 2). Resultados similares obtuvieron Santos et al. (2020), en un yogur caprino con adición de extracto acuoso de yam, un tubérculo de Brazil, en un 20% v/v. La sustitución parcial de leche con el extracto afectó varias características sensoriales, entre ellas se destacó el aroma y el sabor. El panel evaluador prefirió el yogur con adición de extracto a la muestra control. Silva et al. (2017), tras la incorporación de harina de uva Isabel (Vitis labrusca L.) en un 20% p/v a un yogur caprino, observaron una mayor aceptabilidad, menor acidez y menor aroma caprino. La mayor aceptación de yogures caprinos se alcanzó con la adición de pulpa de azufaifo (Ziziphus azufaifo) en un 3% p/v, que enmascaró eficazmente el sabor a leche de cabra (Feng et al., 2019).
Los extractos obtenidos por infusión presentaron valores de acidez significativamente mayor y menor pH que los demás extractos estudiados, mientras que el extracto etanólico 70:30 presentó el pH más cercano a la neutralidad (6,30 ± 0,01). Leal-Chantong et al. (2021), midieron el pH de tres extractos de HS utilizando: infusión acuosa 40:60 sólido:líquido, etanol al 96° con una proporción 20:80 sólido:líquido y decocción con 2:98 sólido:líquido, a 50°C por 30 minutos. Los extractos acuosos tuvieron un pH cercano a 5, en tanto que el etanólico presentó un pH cercano a 6.
Conclusiones
El extracto etanólico 70:30 presentó grado de toxicidad débil y mejores propiedades antioxidantes, mayor contenido de fenoles totales y sólidos totales, coloración no amarronada y acidez cercana a la leche que los demás extractos estudiados.
La incorporación de extracto de HS al yogur de leche de cabra produjo una disminución del pH en función del tiempo y de la concentración (100-300 ppm) de HS en las muestras de yogur. Todos los valores de pH quedaron dentro de los límites aceptados sensorialmente. La acidez aumentó con el agregado de HS hasta el día 21 de almacenamiento refrigerado, para todas las concentraciones de HS analizadas. Todos los valores de acidez estuvieron dentro de los límites establecidos por el CAA.
El grado de sinéresis, la firmeza y adhesividad, aumentaron durante el tiempo de almacenamiento. Respecto a la concentración, estás variables disminuyeron para concentraciones entre C0 y C3 a partir del día 14, indicando que se logró una mayor retención de suero a medida que se incrementó la concentración de HS hasta 300 ppm.
La actividad antirradicalaria aumentó significativamente con el incremento de HS de C0 a C3; una mayor concentración de extracto no afectó la actividad antioxidante.
En el rango de concentraciones estudiadas, el agregado de extracto de HS no fue suficiente para otorgar coloración a las muestras. Sin embargo, la adición de HS en 300 ppm en el yogur caprino aumentó la aceptabilidad sensorial del producto y disminuyó la percepción del sabor caprino, en comparación a un yogur sin adición. Los atributos sensoriales entre el yogur biofuncionalizado y el yogur idealizado por el panel evaluador resultaron similares.
Con la incorporación de 300 ppm de extracto de HS se logró un yogur caprino biofuncionalizado, con características texturales, físicas y propiedades antioxidantes potencialmente interesantes para la industria alimentaria.
Referencias Bibliográficas
Abdel-Hamid, M., Romeih, E., Huang, Z., Enomoto, T., Huang, L., & Li, L. (2020). Bioactive properties of probiotic set-yogurt supplemented with Siraitia grosvenorii fruit extract. Food Chemistry, 303 p. 125400. Doi: 10.1016/j.foodchem.2019.125400
Achanta, K. A., & Boeneke, C. A. (2007). Fat free plain set yogurts fortified with various minerals. LWT - Food Science and Technology, 40(3), 424–429. https://doi.org/10.1016/j.lwt.2006.01.001
Ahmed, I. A. M., Alqah, H. A. S., Saleh, A., Al-Juhaimi, F. Y., Babiker, E. E., Ghafoor, K., Hassan, A. B., Osman, M. A., & Fickak, A. (2021). Physicochemical quality attributes and antioxidant properties of set-type yogurt fortified with argel (Solenostemma argel Hayne) leaf extract. LWT - Food Science and Technology, 137. 110389. ISSN 0023-6438. https://doi.org/10.1016/j.lwt.2020.110389
Ainsworth E. A., & Gillespie, K. M. (2007). Estimation of total phenolic content and other oxidation substrates in plant tissues using Folin-Ciocalteu reagent. Nat Protoc., 2(4), 875-7. doi: 10.1038/nprot.2007.102.
Agarwal, A., & Prakash, R. (2013). Essential Oil Composition of Solvent Extract of Hibiscus rosasinensis Flower. Oriental journal of chemistry, 29(2), 813-814. www.orientjchem.org
Akash, S., Sudhanshu, M., & Dishari, D. (2020). Comparative anti-microbial study of alcoholic extract of Hibiscus rosa-sinensis with marketed formulation. World Journal of Pharmaceutical Research, 9(8), 1889-1899. https://wjpr.s3.ap-south-1.amazonaws.com/article_issue/1596252343.pdf
Barbosa TP, Junior CGL, Silva FPL, Lopes HM, Figueiredo LRF, Sousa SC, Batista GN, da Silva TG, Silva TM, de Oliveira MR, Vasconcellos MLA (2009). Improved synthesis of seven aromatic Baylise Hillman adducts (BHA): Evaluation against Artemia salina Leach. and Leishmania chagasi. Eur J Med Chem 44, 1726 - 1730. https://doi.org/10.1016/j.ejmech.2008.03.016
Bazalar-Pereda M. S., Nazareno M., & Viturro C. I. (2016). Actividad antirradicalaria de extractos polares de especies andinas: tagetes minuta, clinopodium gilliesii, schinus areira y artemisia copa. Jornadas nacionales de plantas aromáticas nativas y sus aceites esenciales. ISSN 1669-6859
Bazalar-Pereda, M., Nazareno, M. A., & Viturro, C. I. (2018). Evaluación de la viabilidad de artemia salina en extractos polares de especies andinas de Jujuy, Argentina. Congreso. VI Congreso latinoamericano de plantas medicinales 2018.
Bertolino, M., Belviso, S., Dal Bello, B., Ghirardello, D., Giordano, M., Rolle, L., Gerbi, V., & Zeppa, G. (2015). Influence of the addition of different hazelnut skins on the physicochemical, antioxidant, polyphenol and sensory properties of yogurt. Lebensmittel-Wissenschaft + [i.e. Und] Technologie. https://10.1016/j.lwt.2015.03.113
Bhaskar, A. V., Nithya, V. G., & Vidhya, S. (2011). Phytochemical screening and in vitro antioxidant activities of the ethanolic extract of Hibiscus rosa sinensis L. Annals of Biological Research 2(5), 653-661. http://14.139.186.108/jspui/bitstream/123456789/31955/1/4%20-%20Phytochemical%20screening%20and%20in%20vitro%20antioxidant%20activities%20of%20the.pdf
Cais-Sokolińska, D., & Walkowiak-Tomczak, D. (2021). Consumer-perception, nutritional, and functional studies of a yogurt with restructured elderberry juice. Journal of Dairy Science, 104(2), 1318-1335. https://doi.org/10.3168/jds.2020-18770
Camacho-Escobar, M. A., Ramos, D. A., Ávila-Serrano, N. Y., Sánchez-Bernal, E. I., & López-Garrido, S. J. (2020). Las defensas físico-químicas de las plantas y su efecto en la alimentación de los rumiantes. Terra Latinoamericana, 38(2), 443-453. https://doi.org/10.28940/terra.v38i2.629
Carretero, M., & Ortega, O. (2017). Preliminary screening of antibacterial activity using crude extracts of Hibiscus rosa-sinensis. Trop Life Sci Res, 20(2), 109-18. https://botplusweb.portalfarma.com/documentos/2017/2/13/106581_000.pdf
Chograni, H., Riahi, L., & Chokri M. (2021). Variability of qualitative and quantitative secondary metabolites traits among wild genetic resources of Lavandula stoechas L. Biochemical Systematics and Ecology, 98. 104327. https://doi.org/10.1016/j.bse.2021.104327.
Clemen-Pascual, L., Macahig, M. R. A., & Rojas, S. L. (2021). Comparative toxicity, phytochemistry, and use of 53 Philippine medicinal plants. Toxicology Reports, 9, 22-35. https://doi.org/10.1016/j.toxrep.2021.12.002.
Cuijiao, F., Bini, W., Aiqing, Z., Lusha, W., Yuyu, S., Yin, W., Binyun, C., & Fuxin, Z. (2019). Quality characteristics and antioxidant activities of goat milk yogurt with added jujube pulp. Food Chemistry, 277, 238-245. https://doi.org/10.1016/j.foodchem.2018.10.104.
Feng, C., Wang, B., Zhao, A., Wei, L., Shao, Y., Wang, Y., Cao, B., & Zhang, F. (2019). Quality characteristics and antioxidant activities of goat milk yogurt with added jujube pulp. Food Chemistry, 277, 238-245. https://doi.org/10.1016/j.foodchem.2018.10.104
Fidelis, M., de Oliveira, S. M., Sousa Santos, J., Bragueto Escher, G., Silva Rocha, R., Gomes Cruz, A., Araújo Vieira do Carmo, M., Azevedo, L., Kaneshima, T., Oh, W. Y., Shahidi, F., & Granato, D. (2020). From byproduct to a functional ingredient: Camu-camu (Myrciaria dubia) seed extract as an antioxidant agent in a yogurt model. Journal of Dairy Science, 103(2), 1131-1140. https://doi.org/10.3168/jds.2019-17173
Griebeler, C. G.O. (2013). Colorimetria da madeira de Eucalyptus grandis W. Hill ex Maiden modificada termicamente. Dissertação: Mestrado em Tecnologia e utilização de produtos florestais. Universidade Federal do Paraná, Curitiba.
Iturbe, F., & Sandoval, J. (2011). Análisis de Alimentos Fundamentos y Técnicas. México: Universidad Nacional Autónoma de México. Facultad de Química. https://amyd.quimica.unam.mx/pluginfile.php/14545/mod_resource/content/1/An%C3%A1lisis%20de%20alimentos%20fundamentos%20y%20t%C3%A9cnicas.pdf
Jaster, H., Arend, G. D., Rezzadori, K., Chaves, V. C., Reginatto, F. H., & Petrus, J. C. C. (2018). Enhancement of antioxidant activity and physicochemical properties of yogurt enriched with concentrated strawberry pulp obtained by block freeze concentration. Food Research International, 104, 119-125. https://doi.org/10.1016/j.foodres.2017.10.006
Arencibia, J. A., Iglesias, D., Pérez-Planas, D., Salas, E., Pérez, D., & Rodríguez, D. (2021). Desarrollo de un licor crema a partir de manzana malaya y flor de mar pacifico. Ciencia y Tecnología de los Alimentos, 31(1), 23-29.
Joung, J. Y., Lee, J. Y., Ha, Y. S., Shin, Y. K., Kim, Y., Kim, S. H., & Oh, N. Su. (2016). Enhanced Microbial, Functional and Sensory Properties of Herbal Yogurt Fermented with Korean Traditional Plant Extracts. Journal Korean Food Sci Anim Resour, 36(1), 90-99. https://doi.org/10.5851/kosfa.2016.36.1.90
Khan, Z. A., Syed, A. R., Ammara, M., Zaib, H., Sohail, A., Asim, M., Matloob, A., Ameer, F., Iftikhar, H., Muhammad, R., Nasir, M., & Muhammad, Y. (2014). Antioxidant and antibacterial activities of Hibiscus Rosa-sinensis Linn flower extracts. Pharm. Sci., 27(3), 469-474. https://applications.emro.who.int/imemrf/Pak_J_Pharm_Sci/Pak_J_Pharm_Sci_2014_27_3_469_474.pdf
Klopčič, M., Slokan, P., & Erjavec, K. (2019). Consumer preference for nutrition and health claims: A multi-methodological approach. Food Quality and Preference, 82, 103863. https://doi.org/10.1016/j.foodqual.2019.103863
Kwon, H. C., Bae, H., Seo, H. G., & Han, S. G. (2019). Short communication: Chia seed extract enhances physiochemical and antioxidant properties of yogurt. Journal of Dairy Science, 102(6), 4870-4876. DOI: 10.3168/jds.2018-16129
Leal-Chantong, A., Ab, D., Alvarado, L., Aguilar, M., Xiomara, R., Delta, A., Guayaquil, A., & Guayaquil, K. (2021). Efecto antimicrobiano y antiulcero de nanoparticulas de plata sintetizadas partir de extracto de la flor hibiscus rosa-sinensis. https://www.researchgate.net/publication/355107912_EFECTO_ANTIMICROBIANO_Y_ANTIULCERO_DE_NANOPARTICULAS_DE_PLATA_SINTETIZADAS_PARTIR_DE_EXTRACTO_DE_LA_FLOR_HIBISCUS_ROSA-SINENSIS
Mak, Y. W., Chuah, L. O., Ahmad, R., & Bhat, R. (2013). Antioxidant and antibacterial activities of hibiscus (Hibiscus rosa-sinensis L.) and Cassia (Senna bicapsularis L.) flower extracts. Journal of King Saud University - Science, 25(4), 275–282. doi:10.1016/j.jksus.2012.12.003
Mann, B., Athira, S., Sharma, R., & Bajaj R. (2017). Bioactive peptides in yogurt. En: Shah, Nagendra P. (ed.), Yogurt in health and disease prevention (411-426). Doi: 10.1016/B978-0-12-805134-4.00024-9
Mendoza, Z. M. dos S. H. de, & Borges, P. H. de M. (2015). Análisis colorimétrico del extracto acuoso de hojas de teca1. Árvore, 39, 953-961. https://doi.org/10.1590/0100-67622015000500018
Miklavec, K., Pravst, I., Grunert, K. G., Klopčič, M., & Pohar, J. (2015). The influence of health claims and nutritional composition on consumers’ yoghurt preferences. Food Quality and Preference, 43. https://doi.org/10.1016/j.foodqual.2015.02.006
Moneim, A.; Rania, M.; & Zakaria, A. (2011). Effects of Storage on Quality of Yoghurt Prepared from Cows' and Goat’s Milk and Pure Strains of Lactic Acid Bacteria. Journal of Science and Technology, 12 (1), 136-143.
Morales V., S. D. L. Á. (2005). Predicción de conteos microbiológicos en la leche cruda con base en la prueba de azul de metileno. Honduras, Universidad de Zamorano. Recuperado de https://bdigital.zamorano.edu/handle/11036/5359
Moreno, B., Delgado, C. & Sanchez, M. (2017). Estudio de estabilidad de compuestos fenólicos y capacidad antioxidante del vino microfiltrado de flor de jamaica (hibiscus sabdariffa l.) durante el almacenamiento. Recuperado de http://repositorio.ute.edu.ec/bitstream/123456789/16730/1/69886_1.pdf
Oliveira, D.S., Florence, A.C.R., Perego, P., De Oliveira, M.N., & Converti, A. (2011). Use of lactulose as prebiotic and its influence on the growth, acidification profile and viable counts of different probiotics in fermented skim milk. International Journal of Food Microbiology, 145, 22-27.
Parra-Huertas, R., Rojas, L., & Parada. (2016). Evaluación de la adición de avena, mango y estevia en un yogur elaborado a partir de una mezcla de leche semidescremada de cabra y de vaca. Corpoica Ciencia y Tecnología Agropecuaria, 16(2), 167-179. DOI: 10.21930/rcta.vol16_num2_art:365
Pluta, A., Kazimierczak, A., & Wąsowska, D. (1999). Wplyw wybranych hydrokoloidow na jakosc jogurtu.
Purushothaman, A., Packirisamy, M., Saravanan, S., Ramalingam, S., Nallappan, S. (2016). Quantification of Total Phenolic Content, HPLC Analysis of Flavonoids and Assessment of Antioxidant and Anti-haemolytic Activities of Hibiscus rosa- sinensis L. Flowers in vitro. International Journal of Pharma Research and Health Sciences, 4 (5): 1342-1350. DOI:10.21276/ijprhs.2016.05.02
Qiu, L., Zhang, M., Mujumdar, A. S., Chang, Lu. (2021). Effect of edible rose (Rosa rugosa cv. Plena) flower extract addition on the physicochemical, rheological, functional and sensory properties of set-type yogurt. Food Bioscience, 43. 101249. https://doi.org/10.1016/j.fbio.2021.101249.
Rao, A.B., Prasad, E., Roopa, G., Sridhar, S., & Ravikumar, Y. V. L. (2012). Simple extraction and membrane purification process in isolation of steviosides with improved organoleptic activity. Advances in Bioscience and Biotechnology, 3, 327–335.
Rengarajan, S., Melanathuru, V., Govindasamy, C., Chinnadurai, V., & Elsadek, M. F. (2020). Antioxidant activity of flavonoid compounds isolated from the petals of Hibiscus rosa sinensis. Journal of King Saud University - Science, 32(3), 2236-2242. https://doi.org/10.1016/j.jksus.2020.02.028
Rincón-Ruiz, C. P. (2016). Psicología del color, su importancia e influencia en la decisión de compra del consumidor: un enfoque desde el sector de alimentos y bebidas en Colombia. Bogotá, Colombia: Universidad Militar Nueva Granada. Recuperado de https://repository.unimilitar.edu.co/bitstream/handle/10654/15434/RinconRuizClaudiaPatricia2016.pdf?sequence=1
Ríos-Chávez, P., Perez-Gonzalez, J., Salgado-Garciglia, R., Ramírez-Chávez, E., Molina-Torres, J., Martinez-Trujillo, M., & Carreon-Abud, Y. (2019). Antibacterial and cytotoxicity activities and phytochemical analysis of three ornamental plants grown in Mexico. Journal Biological Sciences, 91(02). https://doi.org/10.1590/0001-3765201920180468
Sadilova, E., Stintzing, F. C., Kammere, D. R. & Reinhold, C. (2019). Matrix dependent impact of sugar and ascorbic acid addition on color and anthocyanin stability of black carrot, elderberry and strawberry single strength and from concentrate juices upon thermal treatment. Food Research International, 42, 1023–1033. DOI: 10.1016/j.foodres.2009.04.008
Salib, J. Y. (2021). Polyphenolic Compounds from Flowers of Hibiscus: Characterization and Bioactivity. En: Ronald Ross Watson (ed.), Polyphenols in Plants (231-239). Academic Press. https://doi.org/10.1016/B978-0-12-397934-6.00012-7.
Santos, R. A., Rodrigues, R. L., Mikarla B. D., Nascimento, E. B., Benício de Carvalho, A. M., Almeida Gadelha, C. A., & Santi, G. T. (2020). Influence of aqueous yam extract and goat milk casein powder on the characteristics of goat Greek-style yogurt. International Journal of Gastronomy and Food Science, 27, 100465. https://doi.org/10.1016/j.ijgfs.2021.100465.
Saluzzo, L., Gallardo, F. S., & Viturro, C. I. (2018). Estudio de actividad antirradicalaria de mezclas de extractos polares de Mulinum sp y Clinopodium gilliesii del NOA. VI Jornadas Nacionales de Plantas Aromáticas Nativas y sus Aceites Esenciales, II Jornadas Nacionales de Plantas Medicinales Nativas. DOMINGUEZIA Vol. 34 (S) – Pág. 83-84. ISSN 1669-6859. http://www.dominguezia.org.
Sarvjeet, S., Abha, G., Amita, K., & Rachna, V. (2019). Antimicrobial and Antioxidant Potential of Hibiscus Rosa-sinensis L. in Western Himalaya. Biological Forum – An International Journal, 11(1), 35-40. Disponible en: https://www.researchtrend.net/bfij/pdf/Antimicrobial%20and%20Antioxidant%20Potential%20of%20Hibiscus%20Rosa-sinensis%20L.%20in%20Western%20Himalaya%20RACHNA%20VERMA.pdf
Schimidt, C.A.P., Pereira, C., Dos-Anjos, G., & Lucas, S. D. M. (2012). Formulação e avaliação sensorial hedônica de iogurte com polpa de Acerola. Revista Eletrônica Científica Inovação e Tecnologia, 1(5), 10-14.
Silva, F. A., Oliveira, M. E. G., Figueirêdo, R. M. F., Sampaio, K. B., Souza, E. L., Oliveira, C. E. V., Ramos, R. C. (2017). The effect of Isabel grape addition on the physicochemical, microbiological and sensory characteristics of probiotic goat milk yogurt. Food & Function, 8(6), 2121–2132. doi:10.1039/c6fo01795a
Sugumaran, M., Poornima, M., & Sethuvani, S. (2012). Phytochemical and trace element analysis of Hibiscus rosa sinensis Linn and Hibiscus syriacus Linn flowers. NPAIJ.; 8(9), 341-345.
Tamime & Robinson’s. (2007). Tamime and Robinson’s Yoghurt. 3rd Edition. Recuperado de https://www.elsevier.com/books/tamime-and-robinsons-yoghurt/tamime/978-1-84569-213-1
Vásquez-Villalobos, V., Aredo, V., Velásquez, L., & Lázaro, M. (2015). Physicochemical properties and sensory acceptability of goat’s milk fruit yogurts with mango and banana using accelerated testing. Scientia Agropecuaria 6 (3), 177 – 189.
Zampini, I. C., Cuello, S., Alberto, M. R., Ordoñez, R. M., Almeida, R. D., & Solórzano E. (2009). Antimi-crobial activity of selected plant species from «the Argentine Puna» against sensitive andmulti-resistant bacteria. Journal of Ethnopharmacology, 124 (3), 499-505.
Zhang, T., Jeong, C. H., Cheng, W. N., Bae, H., Seo, H. G., Petriello, M. C., & Han, S. G. (2019). Moringa extract enhances the fermentative, textural, and bioactive properties of yogurt. LWT, 101, 276-284. https://doi.org/10.1016/j.lwt.2018.11.010
Zheng, X., Wu, K., Song, M., Ogino, S., Fuchs, C. S., Chan, A. T., Giovannucci, E. L., Cao, Y., & Zhang, X. (2020). Yogurt consumption and risk of conventional and serrated precursors of colorectal cancer. Gut, 69(5), 970-972. https://doi.org/10.1136/gutjnl-2019-318374

